Contains
do not export to avoid conflict with Base.contains
What is contains?
The contains function checks if a given geometry completely contains another geometry, or in other words, that the second geometry is completely within the first. This requires that the two interiors intersect and that the interior and boundary of the second geometry is not in the exterior of the first geometry.
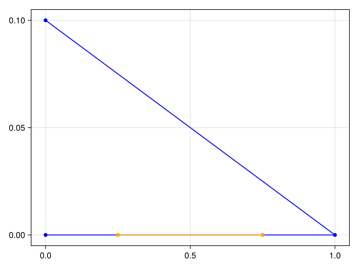
To provide an example, consider these two lines:
julia
import GeometryOps as GO
import GeoInterface as GI
using Makie
using CairoMakie
l1 = GI.LineString([(0.0, 0.0), (1.0, 0.0), (0.0, 0.1)])
l2 = GI.LineString([(0.25, 0.0), (0.75, 0.0)])
f, a, p = lines(GI.getpoint(l1), color = :blue)
scatter!(GI.getpoint(l1), color = :blue)
lines!(GI.getpoint(l2), color = :orange)
scatter!(GI.getpoint(l2), color = :orange)
f
We can see that all of the points and edges of l2 are within l1, so l1 contains l2. However, l2 does not contain l1.
julia
GO.contains(l1, l2) # returns true
GO.contains(l2, l1) # returns falsefalseImplementation
This is the GeoInterface-compatible implementation.
Given that contains is the exact opposite of within, we simply pass the two inputs variables, swapped in order, to within.
julia
"""
contains(g1::AbstractGeometry, g2::AbstractGeometry)::Bool
Return true if the second geometry is completely contained by the first
geometry. The interiors of both geometries must intersect and the interior and
boundary of the secondary (g2) must not intersect the exterior of the first
(g1).
`contains` returns the exact opposite result of `within`.
# Examples
```jldoctest
import GeometryOps as GO, GeoInterface as GI
line = GI.LineString([(1, 1), (1, 2), (1, 3), (1, 4)])
point = GI.Point((1, 2))
GO.contains(line, point)output
julia
true
```
"""
contains(g1, g2) = GeometryOps.within(g2, g1)This page was generated using Literate.jl.